En övergång till mer växtbaserad kost har stora klimatfördelar, men minskar också det globala behovet av arbetskraft inom jordbruket med mellan 5 och 28 procent, visar en ny studie. Forskarna efterlyser nu politiska insatser för att göra omställningen rättvis för lantbrukare som behöver byta inriktning.
En global övergång till mer växtbaserad kost med kraftigt minskad andel animalier skulle kunna mer än halvera livsmedelssektorns utsläpp av växthusgaser och förebygga upp till 15 miljoner dödsfall varje år. Det visade EAT-Lancet 2.0 i höstas, som är den största forskningsrapporten i sitt slag.
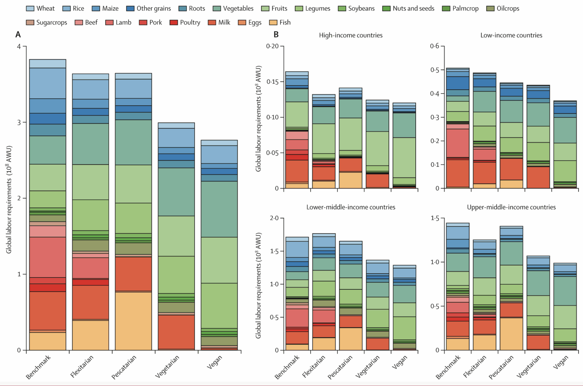
Omställningen till mer hållbar kost kommer att ha stor påverkan på sysselsättningen inom jordbruket, visar en ny studie från Oxfords universitet. Forskarna beräknade hur arbetskraften skulle påverkas för 20 livsmedelsgrupper i 179 länder vid olika sorters kostintag. De fann att behovet av lantbrukare minskade med i genomsnitt 5 procent för en ”flexitarisk” diet bestående av mindre mängder animaliska produkter, och lika mycket för pescetarisk diet, alltså att man äter fisk men inte kött och kyckling. För en vegetarisk diet minskade arbetsbehovet med 22 procent och för en vegansk diet med 28 procent.
Översatt i antalet heltidsjobb rör det sig om 18–106 miljoner människor som inte längre skulle behövas inom lantbruket.
– Kostförändringar påverkar inte bara vår hälsa och planeten – de har också stor inverkan på människors försörjning. Att gå bort från köttunga dieter minskar behovet av arbetskraft inom djurproduktionen men ökar efterfrågan inom trädgårdsodling och livsmedelstjänster, säger studiens huvudförfattare Marco Springmann, forskare inom miljö och hälsa vid Oxfords universitet, i ett uttalande.

Danmark sticker ut
Största minskningen i efterfrågan på arbetskraft skulle ske i länder vars jordbruk har stor andel boskapsuppfödning. I Danmark och Irland skulle en övergång till en flexitarisk kost minska behovet av arbetskraft med omkring 60 procent.
Samtidigt kan vissa länder behöva fler arbetare till följd av ökad efterfrågan på frukt, grönsaker, baljväxter och nötter, däribland latinamerikanska Colombia och Ecuador, där en flexitarisk diet skulle kräva 81 till 109 procent fler arbetare.

Rättvis omställning
Överlag är det alltså mer effektivt att odla och äta växtbaserad kost, inte bara sett till naturresurser utan även när det gäller behovet av arbetskraft. Men för att övergången ska bli rättvis för de som i dag arbetar med boskapsuppfödning krävs politiska åtgärder som stöd till omskolning, omplacering och investeringar i växtodling, understryker forskarna bakom studien.
– Konsekventa strategier och politiskt stöd kommer att behövas för att möjliggöra rättvis omställning för jordbruksarbete, säger Marco Springmann.
Enligt studien skulle mellan 10 och 40 procent av de som tidigare arbetat inom lantbruket kunna sysselsättas med naturvård av tidigare betesmark som skulle bli tillgänglig för restaurering och återförvildning.
Global matomställning för att rädda planeten – och människoliv
Så kallad planerär hälsokost, som förespråkas i EAT-Lancet 2.0-rapporten (ej att förväxla med den nya studien), är flexitarisk. Genomsnittssvensken bör enligt forskarna äta mer fullkorn, baljväxter, frukt, grönsaker och nötter medan andelen animalier, främst rött kött, behöver minska.
Rekommendationen för olika livsmedelsgrupper är följande dagliga intag:
– frukt och grönsaker: 500 gram
– baljväxter: 75 gram
– mejeri: 250 gram (eller ett spann på 0–500 gram)
– fisk och skaldjur: 30 gram (0–100 gram)
– fågel: 30 gram per dag (0–60 gram)
– rött kött: 15 gram (0–30 gram)
Om alla äter enligt den planetära hälsokosten kommer den globala produktionen av baljväxter att behöva öka med uppemot 190 procent, produktionen av grönsaker med 42–48 procent, medan animalieproduktionen skulle minskas med 22–27 procent.
En annan studie från Stockholms universitet, publicerad i tidskriften Nature communications, som baseras på svenska förhållanden, visade 2024 att helt växtbaserad mat är det bästa för klimat och miljö. Allra bäst är oprocessade livsmedel.
Stockholms universitet och Nature communications





